
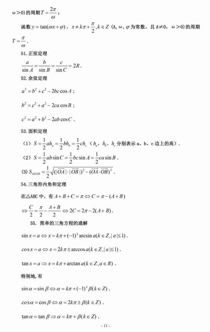
正弦定理 asinA=bsinB=csinC=2R 注其中 R 表示三角形的外接圆半径 余弦定理 b^2=a^2+c^22accosB 注角B是边a和边c的夹角 圆的标准方程 xa^2+yb^2=^r2 注a,b是圆心坐标 圆的。
高中的数学公式定理大集中 1 过两点有且只有一条直线 2 两点之间线段最短 3 同角或等角的补角相等 4 同角或没事的时候去书店逛逛吧,专门有卖公式的书,还很便宜的,挑个自己喜欢的,肯定会比网上总结的全而且准确 已赞过。
锥体体积公式 V=13*S*H 圆锥体体积公式 V=13*pi*r2h 斜棱柱体积 V=SL 注其中,S是直截面面积, L是侧棱长 柱体体积公式 V=s*h 圆柱体 V=pi*r2h2正弦定理 asinA=bsinB=csinC=2R 注 其中。
数列求和比较难,错位相消巧转换, 取长补短高斯法,裂项求和公式算 归纳思想非常好,编个程序好思考 一算二看三联想,猜测证明不可少 还有数学归纳法,证明步骤程序化 首先验证再假定,从K向着K加1。
高中数学合集百度网盘下载 链接 ?pwd=1234 提取码1234 简介高中数学优质资料下载,包括试题试卷课件教材视频各大名师网校合集。

根与系数的关系X1+X2=ba X1*X2=ca注韦达定理高中数学常用公式判别式b24ac=0注方程有两个相等的实根b24ac0注方程有两个不等的实根b24aclt0注方程没有实根,有共轭复数根高中数学常用。

标签: #高中数学公式和定律总结大全